Cadre de classement

Le cadre de classement fixe la répartition des fonds et collections en grandes divisions et subdivisions, appelées séries et sous-séries. Cette répartition détermine la cotation. Les archives de la grande chancellerie de la Légion d’honneur possèdent un cadre de classement organisé de façon thématique en fonction des activités présentes et passées de l’institution.

Les inventaires sont des instruments de recherche qui donnent une analyse succincte de chaque pièce ou groupe de pièces constituant une série d’archives. Ils référencent également la cote de chacun des documents.

Seuls les instruments de recherche aboutis et communicables sont publiés ici.

Cadre de classement des archives de la grande chancellerie de la Légion d'honneur

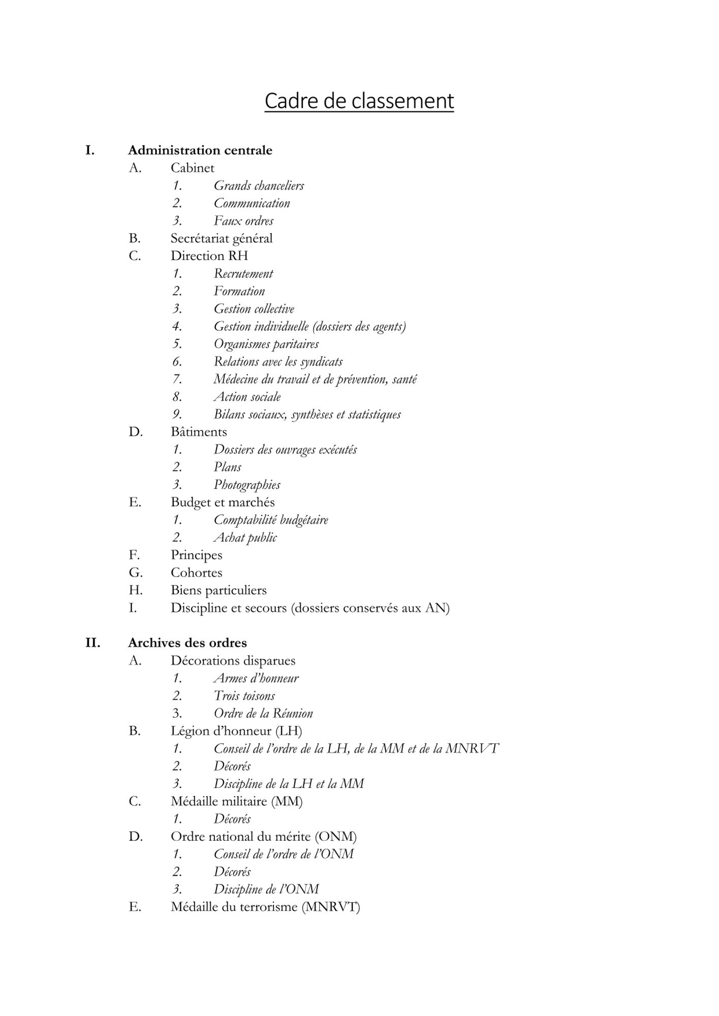
I. Administration centrale

A. Cabinet

1. Grands chanceliers

2. Communication

3. Faux ordres

B. Secrétariat général

C. Direction RH

1. Recrutement

2. Formation

3. Gestion collective

4. Gestion individuelle (dossiers des agents) 

5. Organismes paritaires

6. Relations avec les syndicats

7. Médecine du travail et de prévention, santé

8. Action sociale

9. Bilans sociaux, synthèses et statistiques

D. Bâtiments

1. Dossiers des ouvrages exécutés

2. Plans

3. Photographies

E. Budget et marchés

1. Comptabilité budgétaire

2. Achat public

F. Principes

G. Cohortes

H. Biens particuliers

I. Discipline et secours (dossiers conservés aux AN)

II. Archives des ordres

A. Décorations disparues

1. Armes d’honneur

2. Trois toisons

3. Ordre de la Réunion

B. Légion d’honneur (LH)

1. Conseil de l’ordre de la LH, de la MM et de la MNRVT

3. Discipline de la LH et la MM

C. Médaille militaire (MM)

1. Décorés

D. Ordre national du mérite (ONM)

1. Conseil de l’ordre de l’ONM

2. Décorés

3. Discipline de l’ONM

E. Médaille du terrorisme (MNRVT)

1. Généralités

2. Dossiers de décorés

F. Médailles commémoratives

G. Autorisation de port d’ordres étrangers

III. MELH

A. Politique générale, administration et évaluation

1. Politique générale

2. Administration

3. Contrôle, évaluation et statistiques

B. Vie scolaire et universitaires, dispositifs particuliers de formation

1. Scolarité : inscription et suivi

2. Emploi du temps, productions pédagogiques et travaux d’élèves ou d’étudiants

3. Stages

4. Activités périscolaires et péri-universitaires

5. Dossiers d'élèves

C. Centre d’examens et de concours

D. Santé et aide sociale

1. Santé

2. Aide sociale en faveur des élèves et des étudiants

E. Finances et comptabilité

1. Finances et comptabilité des établissements

2. Budgets, comptes et gestion de crédits déconcentrés dans les rectorats et les inspections d’académie

3. Gestion comptable des services des collectivités territoriales chargés de l’éducation

F. Bâtiments

1. Gestion du patrimoine immobilier

2. Réglementation et sécurité

3. Prospective et programmation

4. Construction et maintenance des bâtiments, équipement des espaces

G. Photographies

1. Photographies de classe

2. Événements

IV. Musée

A. Bâtiments

B. Projet de textes constitutifs et écrits définitifs

C. Collections

D. Histoire des archives conservées

V. Témoignages

A. Grands chanceliers

B. Administration centrale

C. MELH

1. Surintendantes et intendantes

2. Personnel

3. Elèves

VI. Archives privées

A. Personnes privées

B. Associations liées à la Légion d’honneur

1. Associations de légionnaires

2. Autres associations

Cliquer ici pour consulter le cadre de classement des archives de la grande chancellerie de la Légion d'honneur au format PDF

Partager la page